耐酸球阀 “机遇”下低温阀门显身手,带你详细了解低温阀门技术性能和工作特性!
类别:阀门行业动态 发布时间::[2022-09-05 23:01:40]
低温阀是一种在低温介质中工作的阀门。随着现代科技的发展,低温工程制品的生产规模不断扩大,液氧、液氮以及液化石油气等得到广泛的应用。尤其是液化天然气越来越受到世界各国的重视。液化氨的温度-269℃,液氢的温度-254 ℃,液化氦的温度-196 ℃,液氧的温度-183 ℃,液化天然气的温度-162 ℃,以上物质的液化分馏,运输和储存都需要使用大量的低温阀门。低温阀门的用途越来越广,需求越来越大,对低温阀的技术性能和工作特性的要求也在不断提高。
低温阀的温度等级:
国外根据各种不同气体在常压下的液化温度一般分为六种温度级。
一级为 0~-46℃;
二级为-47~-60℃;
三级为-61~-70 ℃;
四级为-70~-101 ℃;
五级为-102~-196℃;
六级为-253 ℃以下。
一般将-46~-150 ℃称为低温,-150 ℃以下称为超低温。
低温阀的材料选用:
低温阀门的一般设计要求:
低温阀门工作条件苛刻,其工作介质大部分为易燃、易爆、渗透性强的物质,最低工作温度可达-269℃,最高使用压力达10MPa。因此,低温阀门的设计、制造、检验与通用阀门相比有很大的区别。一般,根据低温阀门的使用工况,对设计工作提出以下几点要求:
1)阀门及其组合件在低温介质及周围环境温度下应具有长时间工作的能力(一般为10年或是3500~5000次循环);
2)阀门相对于低温介质,不应成为一个显著热源,这是因为热量的流入会降低热效率,而且热量流入过多,还可能使阀门内部的低温介质汽化,产生异常升压,造成危险;
3)低温介质不应对手轮的操作性能和填料的密封性能产生有害影响;
4)直接和低温介质接触的阀门组合件的结构应当符合相关的防爆和防火要求;
5)在低温状态下工作的阀门组合件不能润滑,所以需要采取措施,防止摩擦部件被擦伤。
上述要求应当贯穿低温阀门设计过程的始终,另外应当注意到上述要求是对低温阀门特有的要求,在低温阀门的设计过程中还应当同时遵守相关的通用阀门的要求。
低温阀门技术水平的评价指标:
在低温阀门设计过程中,除了需要考虑低温阀门的流通能力和流道阻力等一般性要求外,还需要考虑一些其他指标耐酸q341f.com/' target='_blank'>球阀,以便更好地对低温阀门的技术水平进行评价。通常通过衡量能量消耗是否合理来对低温阀门的技术水平进行评价,其主要评价指标有以下几项。
1.低温阀门的绝热性能
可以利用阀门进入低温介质的热流流量Q1与所通过的低温介质的质量比来衡量低温阀门的绝热能力。但在介质种类不变,仅流速发生变化时,其值就会变化,因此用这种方法作为评价低温阀门绝热能力的指标显然是不合适的。可以采用指标KT作统一比较。
式中:P--单位时间内进入低温介质的热量,W,P=Q1/T;
αT-比例系数,考虑到低温阀门一般在液氮中进行试验,故取αT=0.0216;
ΔT-周围环境温度(20℃)与低温介质温度之间的差值,℃;
DN-阀门的公称通径,m。
KT值对于同一种介质近似常数,只和阀门本身性质有关。
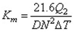
2.低温阀门的冷却性能
低温阀门的冷却性能是指低温阀门从常温冷却到工作温度的能力。这一性能可以利用阀门在上述过程中所消耗的能量,即在上述过程中阀门传给低温介质的热量Q2来衡量。对于周期性工作的低温阀门来说冷却性能指标有着极其重要的意义。但仅仅用Q2来衡量低温阀门冷却性能是不够的耐酸球阀,可采用如下指标:
3.低温阀门启闭密封件的工作性能
在低温条件下,密封件的性能往往遭到破坏,为了实现可靠密封,必须采用合理的密封结构或者加大密封比压。因此,需要对密封效果进行评价。
可以采用与泄漏量有关的参数来衡量低温阀门的密封能力,即:
式中ΔV--在工作寿命期限内气体的平均渗漏量,m3/s。
4.低温阀门表面不结冰的条件
低温阀门工作时,其表面不应结露,更不应结冰。阀门外表面是否结冰首先取决于周围空气温度和零部件表面温度之间的差值ΔT1,其次取决于空气的露点温度。事实上,在全天候条件下,彻底消除结露是很困难的。但是如果ΔT1满足一定条件,结冰的可能性就会大大降低,则阀门表面不结冰的条件为ΔT1≤5℃。
表1为低温阀门的一些技术水平指标。可以看出随着公称直径的增大,阀门的性能有所改善。所以对Kr,Km指标的要求应当根据公称通径的不同而有所变化。Km的值还取决于阀门的类型、阀门壳体的材料及其组件的结构完善程度等要素。一般来说,蝶阀的Km指标最佳,但是蝶阀的低温密封性能不是很好,因此只用来调节介质流量;截止阀和闸阀的性能次之,且低温密封性能较好,在工业现场常用来切断介质。
表1 气动式真空绝热低温阀门技术水平指标
阀体、阀盖、阀座阀瓣(闸板)材料的选用:
这些主体零件材料的选用原则大致是:温度高于-100℃时选用铁素体钢;温度低于-100℃时选用奥氏体不锈钢;设计时根据最低使用温度选择适当的材料。
阀杆及紧固件的材料选用:
温度高于-100℃时,阀杆和螺栓材料采用Ni、Cr-Mo等合金钢,经适当的热处理,以提高抗拉强度和防止螺纹咬伤等。温度低于-100℃时,采用奥氏体不锈耐酸钢制造。但18-8耐酸钢硬度低,会造成阀杆与填料相互摩擦,致使填料处泄露。所以,阀杆表面必须镀铬,或进行氮化和镀镍磷处理,以提高表面硬度。还可以采用热喷涂工艺,表面喷涂钼、STL等耐磨、耐腐蚀合金。为防止螺母与螺栓咬死,螺母一般采用Mo钢或Ni钢,同时在螺纹表面涂二硫化钼。
低温阀垫片、填料材料的选用:
随着温度降低,氟塑料收缩量很大,会使密封性能下降,容易引起泄漏。石棉填料无法避免渗透泄漏。橡胶对天然气有泡胀性,在低温下不可采用。在低温阀门设计中,一方面由结构设计来保证使填料处于接近环境温度下工作,例如:采用长颈阀盖结构,使填料函离低温介质尽量远些,另一方面在选择填料时要考虑填料的低温特性。低温阀门一般采用浸渍四氟乙烯的石棉填料。
柔性石墨是一种优良的密封材料。这种材料对气体、液体均不渗透,在厚度方向有10%~15%的弹性,较低的紧固件压力就可以达到密封。他有自润滑性,用作阀门填料可以防止填料与阀门的磨损。柔性石墨填料的使用温度范围为-200~870℃。
。
TAG:不锈钢气动球阀,螺纹球阀,填料密封



